Chap10. Temps et relativité restreinte
Savoir et savoir-faire
Cours:
- diaporama
- document : la lanterne sur le mât d'un bateau et l'horloge de lumière
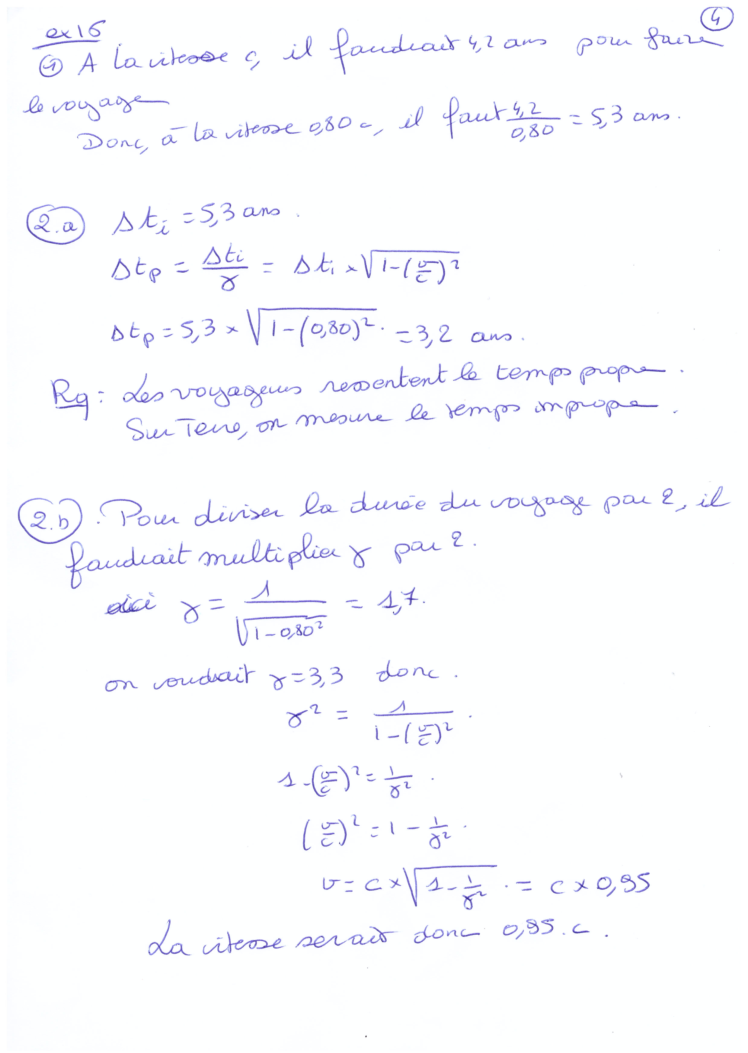
- corrigé des exercices: page1, page2, page3, page4
Vidéos
- La magie du cosmos: épisode 1: l'illusion du temps
- idées lumineuses (source: Yannick Mahé) : voir la vidéo sur YouTube ou Dailymotion
- une vidéo de la démonstration de l'horloge lumineuse: physiquecollegiale
- une vidéo sur la définition de l'espace-temps: extrait de la magie du cosmos
